Kadar Caruman Kwsp Terbaru 2020
Segala peraturan dan undang-undang yang termaktub bagi KWSP boleh dirujuk pada Akta Kumpulan Wang Simpanan Pekerja 1991 Akta 452. Dalam satu kenyataan KWSP berkata kadar caruman berkanun baharu itu akan terpakai untuk pekerja berumur di bawah 60 tahun yang wajib mencarum.
Lanjutan Daripada Kumpulan Wang Simpanan Pekerja Facebook
Kadar caruman bulanan yang dinyatakan dalam Bahagian ini hendaklah terpakai bagi.

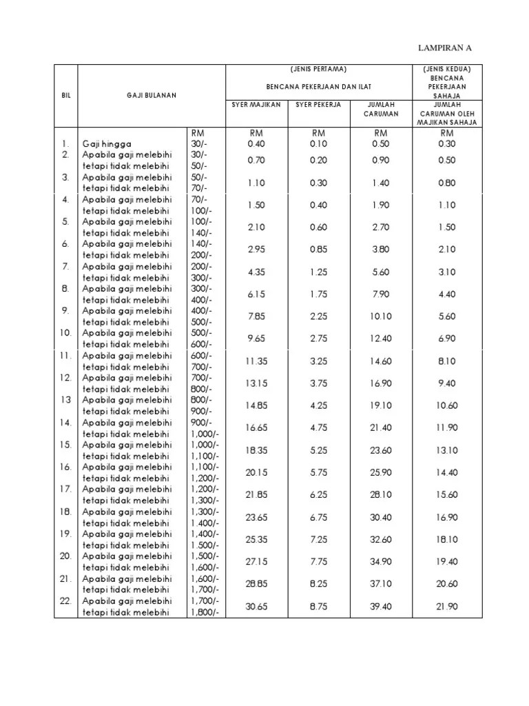
Kadar caruman kwsp terbaru 2020. AKTA KUMPULAN WANG SIMPANAN PEKERJA 1991 JADUAL KETIGA Seksyen 43 dan 44A KADAR CARUMAN BULANAN BAHAGIAN A 1. Panduan buat para pencarum Kumpulan Wang Simpanan Pekerja KWSP EPF yang ingin mengetahui Kadar Dividen KWSP tahun 2020. Sila maklum berkuatkuasa daripada gaji Januari 2021 caruman Februari 2021 sehingga gaji Disember 2021 caruman Januari 2022 kadar caruman pekerja telah diturunkan daripada 11 kepada 9 bagi pekerja yang berusia 60 tahun dan ke bawah.
February 28 2020. Kumpulan Wang Simpanan Pekerja KWSP berkata kadar caruman baharu ini terpakai untuk pekerja berusia di bawah 60 tahun yang wajib mencarum namun bagi pekerja yang berumur 60 tahun ke atas ia kekal pada kadar sama. Untuk mengekalkan kadar caruman KWSP anda pada 11 anda perlu hadir ke KWSP dan lakukan perkara berikut.
Untuk makluman pengurangan kadar caruman KWSP daripada 11 peratus kepada 7 peratus dibawah Pakej Rangsangan Ekonomi 2020 akan berkuatkuasa mulai upah pekerja bulan April 2020 caruman Mei 2020 sehingga upah pekerja Disember 2020 caruman Januari. Majikan dikehendaki membayar caruman KWSP berdasarkan jadual ini. Pengiraan Kos Jualan Per Unit dan Harga Jualan Costing Price.
Kadar caruman berkanun untuk pekerja 60 tahun dan ke atas adalah kekal menurut kenyataaan itu. KWSP Jadual Caruman Bagi 1 Januari 2021 sehingga 31 Disember 2021. KWSP Jadual Caruman 2020 PDF KWSP Kiraan kwsp mestilah mengikut.
Jadal hanya perlu menyimpan borang ini untuk tempoh 7 tahun. Menurut KWSP majikan hendaklah memastikan amaun caruman yang betul ditolak daripada. Panduan buat pencarum KWSP yang ingin mengetahui kadar dividen KWSP tahun 20212022.
Perhatian buat caruman Kumpulan Wang Simpanan Pekerja KWSP yang ingin mengetahui kadar caruman syer pekerja terkini. Kiraan kwsp mestilah mengikut tangga gaji sepertimana yang disediakan oleh pihak kwsp. Da ri 202001 hing g a 204000 26600 16400 43000.
Kadar Terbaru Jadual Caruman SIP Sistem Insurans Pekerja 2021. Muat turun Borang KWSP 17A Khas 2021 yang boleh didapati di laman web KWSP. Kadar caruman berkanun syer pekerja baharu ini adalah terpakai untuk pekerja berumur bawah 60 tahun yang wajib mencarum.
Semua caruman di KWSP akan dibayar dividen dan dijamin oleh kerajaan pada kadar minimum 250 bagi Simpanan Konvensional manakala kadar dividen untuk Simpanan Shariah adalah berdasarkan prestasi sebenar pelaburan patuh Shariah yang. Kwsp jadual caruman 2020 pdf kwsp. Anda boleh memilih untuk mencarum pada kadar yang lebih sila tekan di sini untuk mengetahui lebih lanjut.
Kumpulan Wang Simpanan Pekerja KWSP memaklumkan kadar caruman berkanun syer pekerja akan dikurangkan daripada 11 peratus kepada sembilan peratus bagi tahun 2021. Perhatian buat caruman kumpulan wang simpanan pekerja kwsp yang ingin mengetahui kadar caruman syer pekerja terkini. Jadual Caruman 2020 PDF KWSP.
Berdasarkan rekod tarikh tahun-tahun lepas Lembaga KWSP akan mengumumkan kadar dividen EPF untuk tahun kewangan berakhir 31 Disember 2020 sekitar pertengahan bulan Februari atau awal bulan Mac 2021. Jadual kadar caruman kwsp 2020 terkini spa. Semakan Penyata KWSP Online i-Akaun Terkini 2020kwsp 2020 jadual kwsp 2020 jadual caruman kwsp pdf KWSP JADUAL 2020 jadual caruman kwsp terkini kwsp caruman jadual kwsp caruman jadual terbaru jadual ketiga kwsp jadual caruman kwsp 2021.
Jadi strategi KWSP mesti berhemat dengan penekanan yang lebih besar untuk memelihara modal dan memberikan pulangan lebih stabil dalam jangka panjang yang disokong oleh pengurusan risiko pelaburan yang komprehensif. Kadar baharu ini akan berkuatkuasa bagi tempoh satu tahun dan merangkumi upah pekerja bulan Januari 2021 caruman Februari 2021 sehingga bulan Disember 2021 caruman Januari 2022. Kumpulan Wang Simpanan Pekerja KWSP pada 27 Februari 2021 lepas telah mengumumkan kadar dividen bagi tahun kewangan 2020.
Sedia maklum Sistem Insurans Pekerjaan Caruman SIP mula dilaksanakan pada Januari 2018 sebagai satu jaringan keselamatan sosial yang bertujuan membantu golongan pekerja yang kehilangan pekerjaan untuk mendapatkan bantuan kewangan dan mencari pekerjaan baru. Kumpulan Wang Simpanan Pekerja KWSP telah mengambil maklum keputusan Kerajaan dalam mengurangkan kadar caruman minimum berkanun bagi pekerja daripada 11 peratus kepada tujuh 7 peratus seperti yang diumumkan pada hari ini. At April 06 2019.
2 akta kumpulan wang simpanan pekerja 1991 jadual ketiga seksyen 43 dan 44a kadar caruman bulanan bahagian a 1. Jadual Caruman EPF 2020 Mengikut Tangga Gaji Sumber Kredit. Tujuan kenaikan kadar caruman KWSP ini adalah sebagai langkah menangani masalah tidak cukup pendapatan semasa bersara yang dihadapi golongan pesara.
Kadar caruman berkanun syer pekerja akan dikurangkan daripada 11 peratus kepada sembilan peratus bagi tahun 2021. Kadar Caruman Bulanan Jadual Ketiga Kadar caruman bagi majikan dan pekerja terkini yang berkuat kuasa mulai gaji upah Januari 2021 boleh dirujuk di dalam Jadual Ketiga Akta KWSP 1991. Semakan Penyata KWSP Online i-Akaun Terkini 20202020 jadual caruman kwsp pdf KWSP JADUAL 2020 jadual caruman kwsp terkini kwsp caruman jadual kwsp caruman jadual terbaru jadual ketiga kwsp jadual caruman kwsp 2021 kwsp permohonan pegeluaran 55.
Tahun lalu pihak KWSP mengumumkan kadar dividen kepada ahlinya sebanyak 545 peratus. Majikan perlu memproses borang ini secara dalam talian melalui portal i. Kadar Dividen KWSP Sebelum Tahun 2020 KWSP merupakan tabung dana persaraan yang bertanggungjawab ke atas kebajikan dan kewangan ahli ketika persaraan.
Kiraan kwsp mestilah mengikut tangga gaji sepertimana yang disediakan oleh pihak kwsp. Sebelum kita melihat pada kadar caruman Kumpulan Wang Simpanan Pekerja KWSP yang terbaru elok juga kita lihat sedikit latarbelakang KWSP dan Akta yang memberikan kuasa kepadanya. Untuk makluman Lembaga Kumpulan Wang Simpanan Pekerja KWSP akan mengumumkan kadar dividen KWSP tahun kewangan yang berakhir 31 Disember 2020 pada bulan Februari 2021.
Ahli masih boleh memilih untuk mengekalkan caruman syer pekerja pada kadar 11 peratus dengan melengkapkan Borang KWSP 17A Khas 2021 yang boleh dimuat turun daripada laman web KWSP. Oleh yang demikian sebaiknya printkan satu set jadual ini dan letakkan didalam file yang sesuai untuk dirujuk. Jadual Caruman EPF 2020 Mengikut Tangga Gaji Sumber Kredit.
Pastinya ramai pencarum KWSP sangat. Borang ini perlu dilengkapkan dan boleh dilakukan secara berkumpulan dan boleh dimuat turun bermula 1 Disember 2020. Pendapatan Bulanan Bayaran Caruman Bulanan Bayaran Caruman Setahun.
Ahli boleh membuat pilihan untuk mengekalkan caruman syer pekerja pada kadar 11 peratus dengan melengkapkan Borang KWSP 17A Khas 2020 yang perlu dikemukakan kepada KWSP melalui majikan masing-masing dan berkuatkuasa mulai bulan berikutnya. Ia telah mengalami pelbagai pindaan sejak mula diperkenalkan. Selain itu pekerja berumur 55 tahun ke atas yang menerima gaji tidak lebih RM5000 juga akan menerima manfaat ini apabila majikan mereka diwajibkan mencarum 65 atau tambahan 05 manakala pekerja terus mencarum pada kadar 55.
Jadual Caruman Kwsp 2018 Download Jadual Potongan Kwsp Tahun 2020 Png Kwspblogs Kadar Caruman Di Bawah Jenis Ini Adalah Daripada Syer Majikan Sahaja Iaitu Sebanyak 1 25 Daripada Gaji Bulanan Pekerja

Kadar Baru Caruman Berkanun Kwsp Bagi Syer Pekerja Mulai Januari 2021 Utm Bursary
Jadual Caruman Kwsp 2019 Pdf Englshsab

Semakan Tarikh Bayaran I Lestari Kwsp Online Dan Jadual Pembayaran Payment Schedule Preschool Activities Save

Cara Isi Borang 17a Khas 2021 Kekalkan Caruman Kwsp 11 Dari 9 Weather Weather Screenshot

Kadar Caruman Kwsp Terkini Kumpulan Wang Simpanan Pekerja Dulu Lain Sekarang Lain
Posting Komentar untuk "Kadar Caruman Kwsp Terbaru 2020"